Indoor Air Quality Alternative Strategy
   
 

Philip Morris Internal Document: Indoor Air Quality Alternative Strategy

DATE: 1986

 
Summary of Image
Page One
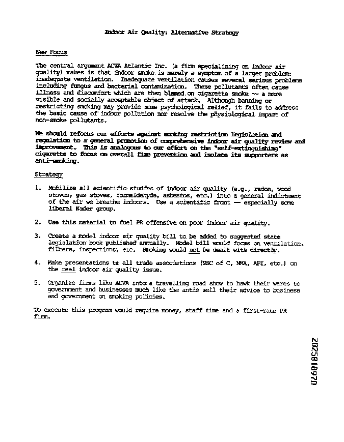
New Focus: that indoor smoke is merely a symptom of a larger problem -- inadequate ventilation
We should refocus our efforts against smoking restriction legislation and regulation to a general promotion of comprehensive indoor air quality review and improvement
[click on image to enlarge to full size -- 16K]


 

BACKGROUND: Today's document reveals overall industry strategy to help defeat proposed bans on indoor smoking, and links this strategy's similarity to the one they sucessfully used to defeat efforts aimed at attaining fire-safe cigarettes:

Quotes:

The central argument ACWA Atlantic, Inc, (a firm specilaizing on indoor air quality) makes is that indoor smoke is merely a symptom of a larger problem: inadequate ventilation. Inadequate ventilation causes several serious problems including fungus and bacterial contamination. These pollutants often cause illness and discomfort which are then blamed on cigarette smoke--a more visible and socially acceptable object of attack.

We should refocus our efforts against smoking restriction legislation and regulation to a general promotion of comprehensive indoor air quality review and improvement. This is analagous to our effort on the 'self-extinguishing' cigarette to focus on overall fire prevention and isolate its supporters as anti-smoking.

Strategy:
1. Mobilize all scientific studies of indoor air quality (i.e., radon, wood stoves, gas stoves, formaldehyde, asbestos, etc.) into a general indictment of the air we breathe indoors. Use a scientific front -- especially some liberal Nader group.

2. Use this material to fuel PR offensive on poor indoor air quality.

3. Create a model indoor air quality bill to be added to suggested state legislation book published annually. Model bill would focus on ventilation, filters, inspections, etc. Smoking would not be dealt with directly.

4. Make presentations to all trade associations (USC of C, NMA, API, etc.) on the real indoor air quality issues.

5. Organize firms like ACVA into travelling road show to hawk their wares to government and businesses much like the antis sell their advice to business and government on smoking policies.

To exectue this program would require money, staff time and a first-rate PR firm.

[all emphasis in original]

Anne Landman
American Lung Association of Colorado, West Region Office
Grand Junction


Title: Indoor Air Quality: Alternative Strategy
Type of Document: Philip Morris Scietific Affairs Report
Document Date: 1986 (no more specific date given)
Author: N/A
Recipient: N/A
No.of Pages: 1
Site: Philip Morris http://www.pmdocs.com/
URL:
http://www.pmdocs.com/getimg.asp?pgno=0&start=0&bool=2025818970&docid=2025818970

 

tobacco freedom logo
home | Attorneys General MSA index | CCAA | Issues | about US


For questions about this Website, contact CyberSmooth at InfoImagination © 1999