Indoor Air Quality
   
 

Philip Morris Report: IAQ Goals [IAQ = Indoor Air Quality]

  January 25, 1993

 
Summary of Image
"1. Increase and intensity debate over quality/integrity of EPA's science."
[click on image to enlarge to full size -- 8K]


 
Summary of Image
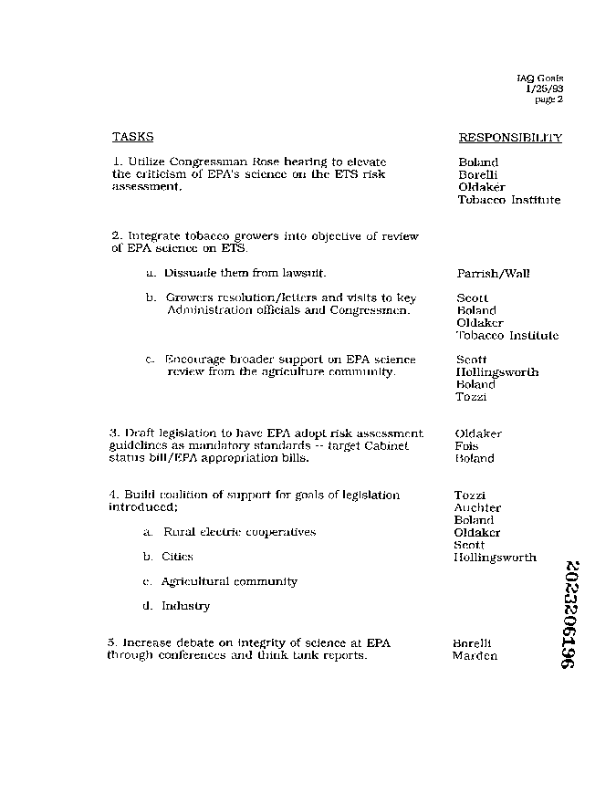
Page Two
TASKS: "1. Utilize Congressman Rose hearing to elevate the criticism of EPA's science on the ETS risk assessment. 2. Integrate tobacco growers into objective of review of EPA science on ETS." "...5. Increase debate on integrity of science at EPA through conferences and think tank reports."
[click on image to enlarge to full size -- 10K]


 
Summary of Image
Page Three
"6. Identify and persuade sponsors to introduce such legislation. 7. Media campaign in support of EPA scientific standards."
[click on image to enlarge to full size -- 9K]


 
Summary of Image
Page Four
"13. Media campaign in support of IAQ. 14. Defense against state, local and private bans... 15. Defense against 'Pro Kids' legislation. 16. Briefing of Members on science/process bias of EPA on ETS."
[click on image to enlarge to full size -- 6K]


 

BACKGROUND NOTE: This Philip Morris document, IAQ Goals, confirms that the goal of the tobacco industry was not to prove EPA wrong on its conclusions about secondhand tobacco smoke, but rather to create (and fuel) doubt and confusion about EPA's results. Another tactic to deal with EPA was to draft and push legislation that would force the agency to adopt mandatory risk assessment guidelines that were to the industry's liking. They also used congressional hearings to "elevate the criticism of EPA's science." Lastly, note that an important purpose of the industry's strategy was to "defend against 'Pro Kids' legislation."

Quotes

IAQ Goals

1. Increase and intensify debate over quality/integrity of EPA's science.
2...
3....

TASKS
1. Utilize Congressman Rose hearing to elevate criticism of EPA's science on the ETS risk assessment.

2. Integrate tobacco growers into objective of review of EPA science on ETS....

3. Draft legislation to have EPA adopt risk assessment guidelines as mandatory standards....target EPA appropriations bills....

...5. Increase debate on integrity of science at EPA through conferences and think tank reports.

...14. Defense against state, local and private bans.
a. Coalition for accommodation
b. Media support for accommodation.

15. Defense against 'Pro Kids' legislation

Anne Landman
American Lung Association of Colorado, West Region Office
Grand Junction

Title: IAQ Goals [IAQ = Indoor Air Quality]
Type of Document: Report, outline
Author: N/A
Recipient: N/A
Date: 19930125 (January 25, 1993)
No. of pages: 4
Site: Philip Morris Document site http://www.pmdocs.com/
Bates No. 2023206195/6198
URL:
http://www.pmdocs.com/getallimg.asp?DOCID=2023206195/6198

 

tobacco freedom logo
home | Attorneys General MSA index | CCAA | Issues | about US


For questions about this Website, contact CyberSmooth at InfoImagination © 1999